近期,理学院应用物理系杨浩教授课题组在自旋动力学方面研究取得新进展。针对稀土铁氧体TmFeO3体系,研究人员借助于中科院国家强磁场中心的电子顺磁共振谱仪(EPR)等设备对其低温下的自旋动力学行为进行了研究,相关结果以“Spin reorientation transition and spin dynamics study of perovskite orthoferrite TmFeO3 detected by electron paramagnetic resonance”为题发表在Physical Chemistry Chemical Physics上。
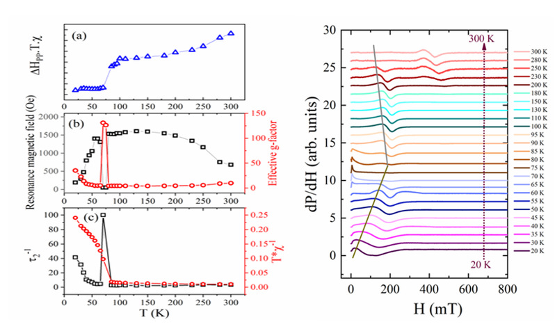
稀土铁氧体TmFeO3由于具有较强的自旋-声子耦合效应,自旋再取向行为,以及多铁性等多种物理特性,使得此类材料有望广泛应用于高速存储器,磁控开关,和磁传感器等新型自旋电子器件中。然而该类材料所展现出的这些复杂行为的物理机制国际上还没有统一的认识,特别是80K附近发生自旋再取向本质原因还尚不清楚。本课题组的Poorva Sharma 博士和樊济宇老师在他们前期工作的基础之上,通过仔细分析2.0K-90.0K 之间TmFeO3电子顺磁共振谱变化,研究其自旋驰豫时间的变化规律,发现该材料同时具有自旋-自旋驰豫机制和自旋-晶格自旋机制,并且该类材料在低温下显示出较强的自旋-晶格耦合作用。研究发现这一作用对在80K附近产生自旋再取向起到关键作用。

图:(左)TmFeO3样品电子顺磁共振谱随温度变化曲线;(右)有效g因子,共振场,横向自旋驰豫率等参数随温度变化曲线。
在这项研究工作中,低温EPR测试工作得到了中科院强磁场中心童伟研究员大力支持。此外,该项研究还得到了国内相关合作课题组支持主要包括上海大学(曹世勋教授和任伟教授),扬州大学(王彩霞教授),以及苏州科技大学(马春兰教授);国外合作小组支持包括俄罗斯(Lomonosov Moscow State University,Nikolai Perov教授)和印度(UGC-DAE-Consortium for Scientific Research,Indore, Arvind Yogi 博士)。动漫疯 理学院为该文章的第一单位,理学院物理系Poorva Sharma博士为文章第一作者,樊济宇老师和杨浩教授为文章的共同通讯作者。
(文章链接://pubs.rsc.org/en/content/articlepdf/2020/CP/D0CP00918K)